細胞が細胞を育てる~オルガノイド技術を活用した次世代の培養肉生産システム~

細胞が細胞を育てる
~オルガノイド技術を活用した次世代の培養肉生産システム~

 国立大学法人東京農工大学大学院農学府共同獣医学専攻の長嶌優子氏(博士課程4年)、山本晴氏(博士課程4年)、同大学大学院農学研究院動物生命科学部門の臼井達哉准教授、佐々木一昭教授らは、マウス膀胱オルガノイドの培養上清による骨格筋芽細胞の増殖促進効果を見出し、新たな培養肉作製方法としての可能性を明らかにしました。本成果は、オルガノイド培養技術を活用した次世代の培養肉生産システムに活用されることが期待されます。

本研究成果は、「Scientific Reports」(2026年2月25日付)にオンライン掲載されました。
論文名:Bladder organoid conditioned media enhances myoblast proliferation under serum-free conditions
著者名:長嶌優子、山本晴、Mohamed Elbadawy、内藤善子、Amira Abugomaa、金田正弘、臼井達哉、佐々木一昭
DOI:10.1038/s41598-026-38603-7

URL:https://www.nature.com/articles/s41598-026-38603-7 

現状
 培養肉は、従来の畜産に依存しない「次世代のタンパク質源」として大きな期待を背負っています。動物の細胞を直接培養して肉を作り出すこの技術は、持続可能なタンパク質供給や環境問題の解決に貢献する画期的な手法で、その社会実装を目指し世界中で研究開発が加速しています。
 培養肉の生産過程において、細胞の効率的な増殖を支える「胎児牛血清(FBS)」はこれまで不可欠な役割を果たしてきました。しかし、FBSの利用には高コストや供給の不安定さに加え、動物福祉上の倫理的懸念、さらには未知の病原体混入に伴うバイオセーフティ(安全性)のリスクがあることから、培養肉を実用的に生産するための培養系としては適さないと考えられています。そのため、微細藻類や昆虫、ヒト血小板などから抽出した代替成分の活用や、無血清培地などが次々と開発されており、これらの先駆的な研究は、培養肉開発における脱FBSに大きく貢献しています。
 しかしながら、動物組織が本来持つ複雑な細胞増殖環境(細胞間相互作用やサイトカインによる精密なシグナル伝達)を、外部からの添加剤のみで完全に再現することは依然として困難です。そのため、生体内の増殖メカニズムをより高度に模倣し、安全性と安定した増殖効率を両立できる、革新的な次世代供給システムの確立が切望されています。

研究体制
 東京農工大学で実施されました。

研究成果
 本研究グループは、細胞を三次元培養することで得られる「オルガノイド」が持つ自律的な分泌能力に着目し、これを細胞増殖因子の供給源として活用する「細胞が細胞を育てる」という新たなコンセプトを提唱しました 。オルガノイドは、体内の組織に似た立体的な構造を持ち、細胞同士が互いに情報をやり取りしながら生きている点が大きな特長です。そのため、単層培養細胞とは異なり、成長に必要なさまざまな因子を自ら分泌し続けることが知られています。研究グループは、この性質を利用すれば、外部から高価な増殖因子を加えなくても、細胞自身が周囲の細胞の成長を支える環境を作り出せるのではないかと考え、本研究の着想に至りました。マウスの組織(肺、胆嚢、脾臓、腎臓、膀胱)からそれぞれ作成したオルガノイドの培養上清(分泌因子)を検証した結果、以下の成果が得られました。

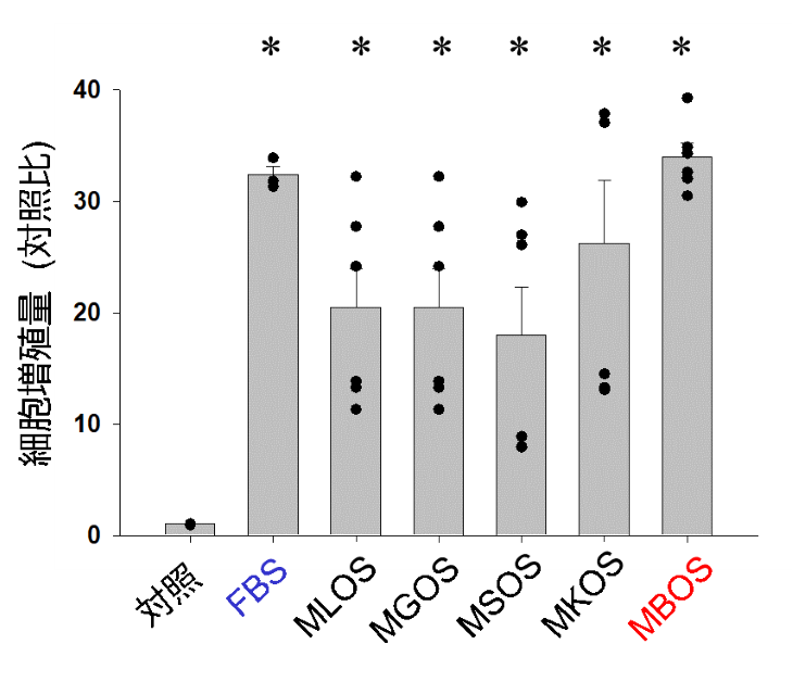
• マウス膀胱オルガノイド由来オルガノイド上清(MBOS)の優れた増殖促進効果: 免疫染色等で組織特有の形質維持を確認した5種のオルガノイド(図1)のうち MBOSは、マウス骨格筋芽細胞株(C2C12)に対してFBSに匹敵する高い増殖促進効果を示しました(図2) 。
• 細胞周期を動かす分子メカニズムの解明: MBOSを処置したC2C12のRNAシークエンス解析により、MBOSは細胞周期を制御する遺伝子である CDK1 および CCNB1の発現を顕著に上昇させていることを突き止め、これにより、細胞が分裂準備を整えるG2期からM期への移行が加速され、筋細胞の増殖効率が高まるメカニズムを分子レベルで明らかにしました (図3)。
• 種を超えた有用性と実用化への布石: MBOSの有用性はマウス細胞に留まらず、培養肉の主要な対象であるウシ由来の一次筋芽細胞に対しても有意な増殖促進効果を示しました(図4) 。マウス由来の分泌因子が異種であるウシ細胞に対しても有効な細胞増殖因子として機能することを実証したこの成果は、将来的なコスト低減や効率的な生産システムの構築に向けた大きな一歩となります 。

 本研究で報告された成果に基づき、関連技術について特許出願を行っています。

今後の展開
 本研究は、オルガノイド分泌因子を培地成分として活用する「次世代」の生産モデルを提示するものです。今後は、網羅的な分子解析を通じて増殖を支える因子の解明を進めるとともに、食用動物種からのオルガノイド樹立や血清フリー培養系への移行を目指し、効率的で持続可能な培養肉生産の実現に貢献することが期待されます。 

図1 作製したオルガノイドの形態および細胞特性
上段は培養中のオルガノイドの顕微鏡像、中段は組織構造を観察するための染色像、下段は細胞の種類や機能に関連するタンパク質の発現を示しています。これらの解析により、オルガノイドが生体組織に近い構造と特徴を保持していることが確認されました。
(図はSci Rep (2026), DOI: 10.1038/s41598-026-38603-7より改変)

図2 オルガノイド培養上清は筋細胞の増殖を促進し、特に膀胱由来で高い効果を示した
各種オルガノイドの培養上清を用いて細胞増殖量(対照比)を評価したところ、いずれも増殖促進効果が認められ、特に膀胱オルガノイド由来の培養上清で顕著な増殖促進が確認されました。

図3 MBOSは細胞周期に関わるタンパク質の発現を増加させた
MBOSを用いて培養した細胞では、細胞増殖に関与するタンパク質(CCNB1、CDK1)の発現が増加しており、増殖促進効果が分子レベルでも確認されました。

図4 MBOSはウシ筋細胞の増殖も促進した
マウス筋芽細胞株(C2C12)で確認されたMBOSの増殖促進効果が、培養肉生産への応用として期待されるウシ由来一次筋細胞においても認められました。

 

◆研究に関する問い合わせ◆
 東京農工大学大学院農学研究院
  動物生命科学部門 准教授
  臼井 達哉(うすい たつや)
   TEL/FAX:042-367-5770
   E-mail:fu7085(ここに@を入れてください)go.tuat.ac.jp
   ウェブサイト:http://vet-pharmacol.com/ 
    

 

関連リンク(別ウィンドウで開きます)

 

CONTACT